Biogenetik Alkaloid Pada Makhluk Hidup
Pada blog ini saya akan membahas mengenai biogenetik atau biosintesis dari turunan alkaloid pada makhluk hidup.
Kafein memiliki rumus kimia C8H10N4O2,
merupakan salah satu jenis dari senyawa alkaloid xantin yang termasuk golongan
senyawa purin. Kafein termasuk golongan senyawa organik heterosiklik aromatik
yang mempunyai cincin pirimidina dan cincin imidazola bersebelahan. Kafein ini
berbentuk seperti kristal dan memiliki rasa yang pahit dan dapat dimanfaatkan
sebagai perangsang psikoaktif dan obat deuretik ringan. Selain itu kafein juga
dapat digunakan sebagai obat perangsang saraf pada manusia sehingga kita bisa
menahan rasa kantuk.
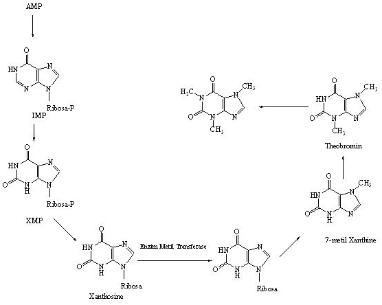
Biosintesis Kafein
Kafein dalam suatu tanaman
dapat disintesis dari xanthosin melalui 3 tahap N-metilasi yang dibantu dengan
adanya aktivitas enzim metal transferase.
Adanya atom nitrogen pada kafein yang berbentuk palanar menyebabkan munculnya sifat aromatik pada molekulnya. Kafein ini bisa diperoleh dari proses dekafeinasi kopi yaitu sebagai hasil samping proses dekaifeinasi yang menyebabkan kafein ini jarang disintesis. Namun, kafein ini dapat disintesis dengan menggunakan senyawa dimetilurea dan asam malonat.
Adanya atom nitrogen pada kafein yang berbentuk palanar menyebabkan munculnya sifat aromatik pada molekulnya. Kafein ini bisa diperoleh dari proses dekafeinasi kopi yaitu sebagai hasil samping proses dekaifeinasi yang menyebabkan kafein ini jarang disintesis. Namun, kafein ini dapat disintesis dengan menggunakan senyawa dimetilurea dan asam malonat.
Kafein
dapat kita temukan pada daun teh, biji kopi, buah koala, dan sebagainya. Pada tumbuhan,
kafein ini mempunyai peran penting sebagai pestisida alami yang melindungi
tanaman dari organisme penggangu seperti serangga pemakan tanaman.
Permasalahan :
1. Sintesis kafein dari
xanthosin melalui 3 tahap N-metilasi dibantu dengan adanya aktivitas enzim
metal transferase. Jika tidak ada aktivitas dari enzim metal transferase,
apakah proses sintesis protein dapat berlangsung?
2. Bagaimana
kafein dapat disintesis dari asam malonat?
3. Pada
tumbuhan, kafein berperan penting untuk melindungi tanaman dari organisme
penggangu. Jika tidak terdapat kafein pada tanaman the atau kopi, apa yang akan
terjadi?





Sesuai permasalahan anda kafein ini untuk melindungi tanaman dari organisme pengganggu, sedikit kemungkinan jika tanaman kopi dan teh tidak mengandung kafein tanaman tersebut tidak terlindungi dari organisme pengganggu. Tapi menurut saya disini jika teh dan kopi tidak mengandung kafein pasti dampak positif dan negatif dari kafein tersebut tak berdampak pada saat kita meminum teh atau kopi tersebut. Jadi jika kita meminum teh atau kopi yang tidak mengandung kafein, tidur kita tidak terganggu, tidak menyebabkan sakit kepala namun juga tidak membangun energi dan tidak meningkatkan detak jantung kita dimana itu semua merupakan dampak negatif dan positif dari teh dan kopi yang mengandung kafein.
BalasHapusBaiklah disini saya akan mencoba menjawab permasalahan dari Vinny yaitu pada nomor 2
BalasHapusMenurut pendapat saya cara kafein disintesis dari asam malonat yaitu kafein merupakan salah satu yang susah untuk diisolasi, kemudian ditemukan teina yang strukturnya sama dengan kafein dan pada akhirnya berhasil dipecahkan dan juga disintesis. Cara mensintesis ya itu belum diketahui pada jalur malonat tetapi ada yang mengatakan caranya itu disintesis kafein terlebih dahulu yang dimana kafein itu berada dalam tanaman yang disintesis dari xanthosin melalui 3 tahapan yaitu N-metilasi, dimana tahap N-metilasi ini dibantu oleh aktivitas enzim yaitu enzim metal transferase.
Semoga membantu
Terima kasih
saya Rd. Abdurrahman (A1C117015) no.1 menurut saya tidak bisa karena enzim tersebut sangat dibutuhkan oleh senyawa tersebut dalam proses sintesis untuk membentuk suatu produk
BalasHapus